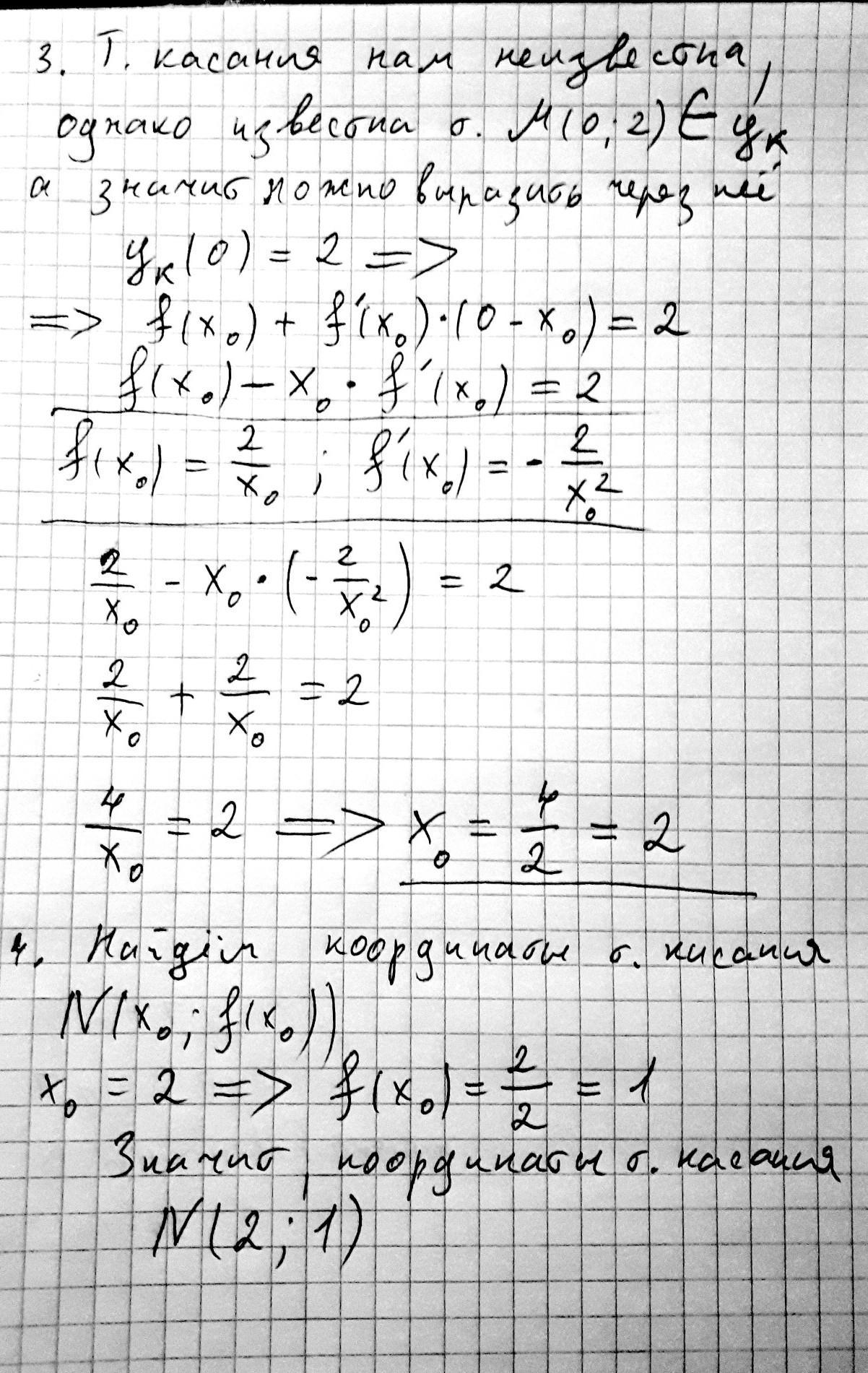
Составьте уравнение касательной к графику функции y= 2/x, проходящей через точку М (0; 2).
Vopoxov:
Через подобные треугольники. Если образно - проведи среднюю линию, опусти перпеедикуляры на основание с середин сторон
Ответы
Ответ дал:
9
Ответ:
Решение - см. в приложенных файлах
Приложения:




Вас заинтересует
2 года назад
2 года назад
2 года назад
8 лет назад
9 лет назад