• Предмет: Математика
  • Автор: kalyuzhnayanikysha
  • Вопрос задан 3 года назад

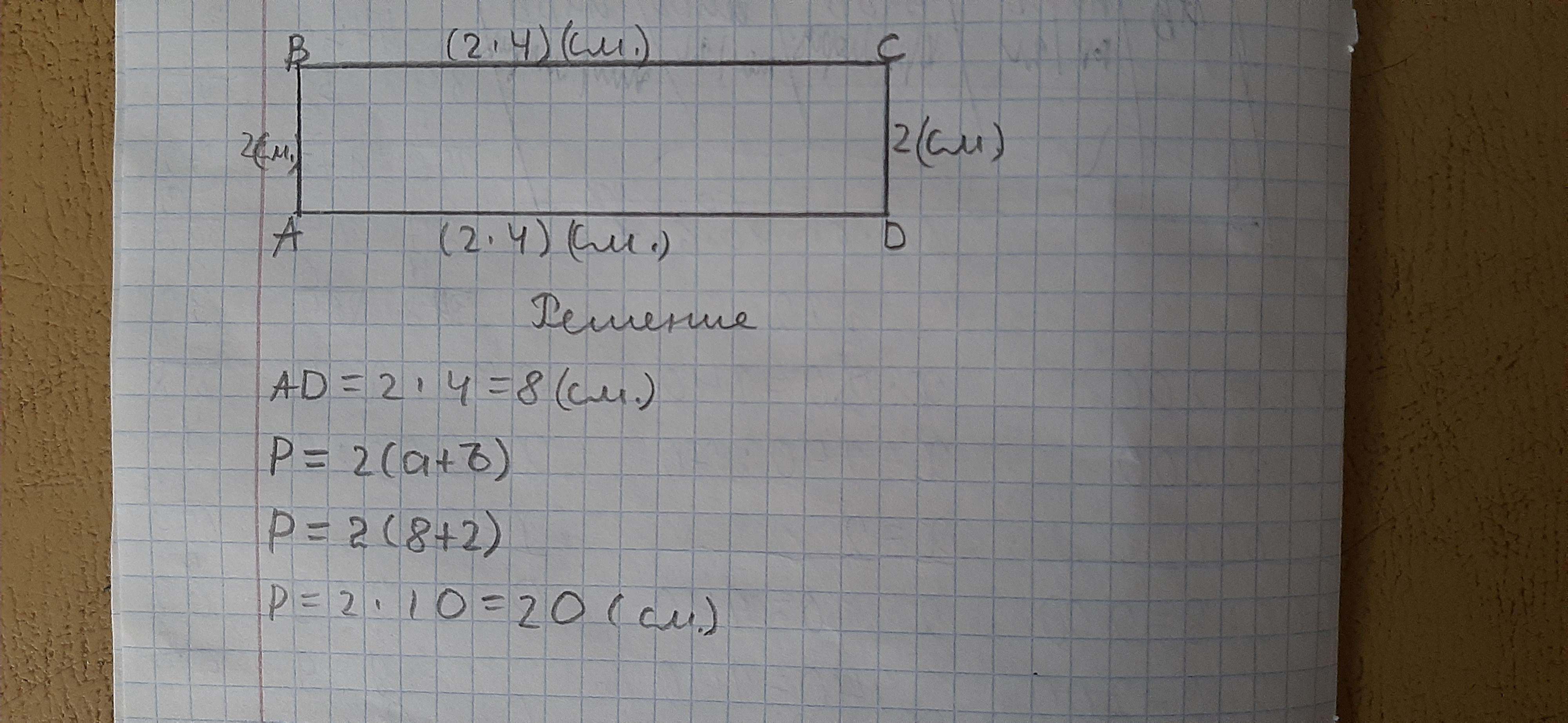
начерти прямоугольник одна сторона которого 2 см а вторая в 4раза больше обозначь буквами фигуру найди периметр

Ответы

Ответ дал: juliasuchod
4

Ответ:

Пошаговое объяснение:

1)Если одна сторона равна 2 см, то другая равна 2×4 = 8(см.)

2)Периметр равен сумме длин всех сторон= 2×(a+b) = 2×(2+8) = 2×10 = 20(см.)

Приложения:
Вас заинтересует