Ответы
Ответ дал:
1
Ответ:
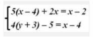
1)y=2.5 x=3 2)x=4 y=3
Объяснение:
Приложения:

Ответ дал:
1
решение надеюсь помогла
Приложения:

Вас заинтересует
2 года назад
2 года назад
2 года назад
2 года назад
8 лет назад
8 лет назад
9 лет назад