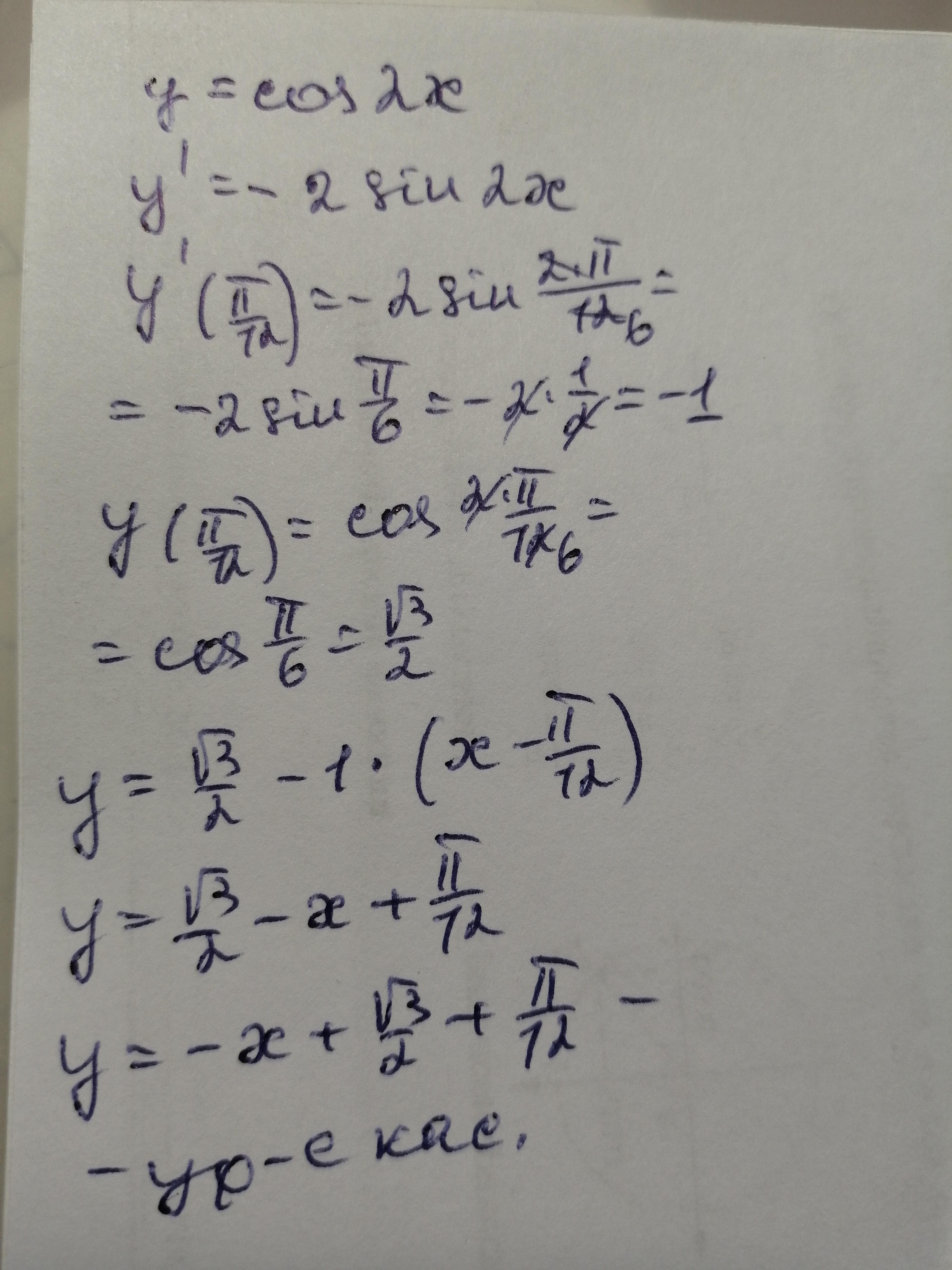
Знайти рівняння дотичної до графіка функції у = cos 2x при х0 = p/12
Решения сделать правильное!А не копировать!
Ответы
Ответ дал:
0
Ответ:
Пошаговое объяснение:
Решение дано на фото.
Приложения:

Вас заинтересует
2 года назад
8 лет назад
8 лет назад
9 лет назад