Ответы
Ответ дал:
0
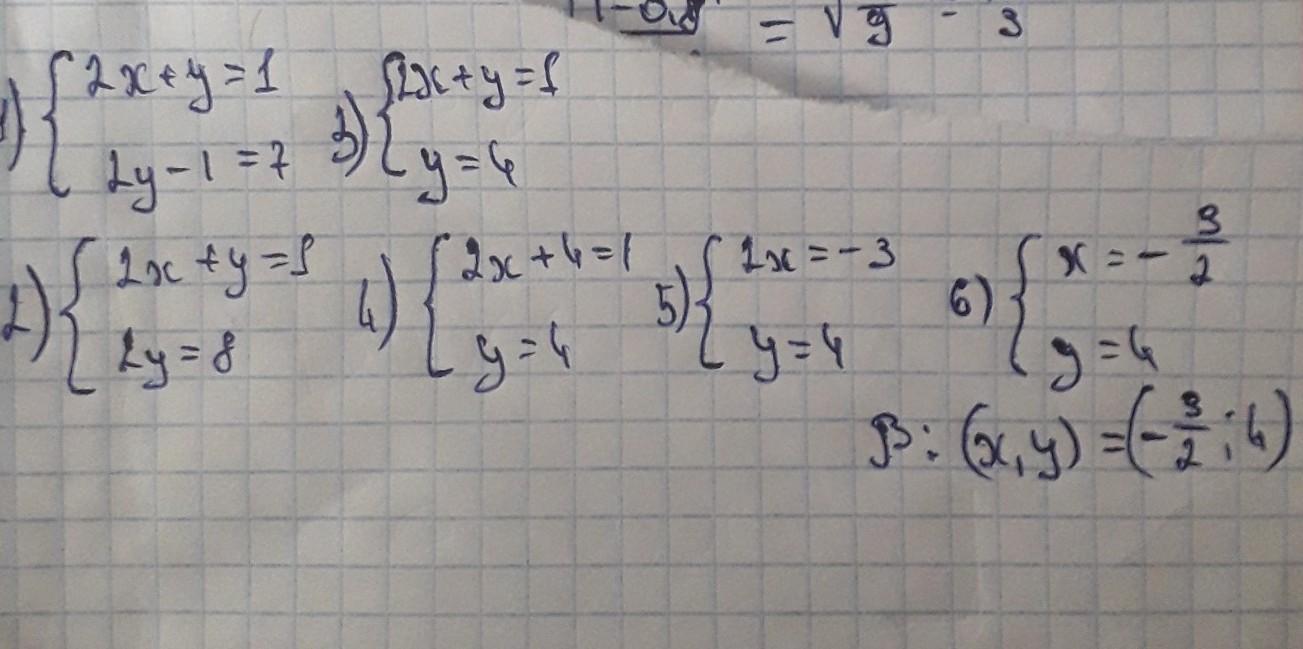
Ответ:
x= -3/2; y=4
Объяснение:
поетапний розв'язок на фото
можна "найкраща відповідь"??
Приложения:

Вас заинтересует
2 года назад
2 года назад
2 года назад
2 года назад
8 лет назад
8 лет назад
9 лет назад