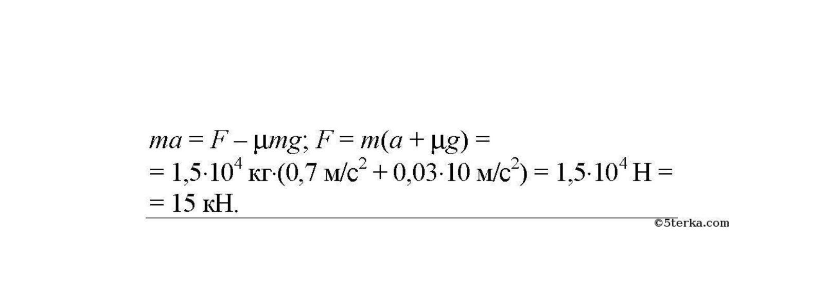
Автобус, маса якого з повним навантаженням дорівнює 15т, рушає з
місця з прискоренням 0,7 м/с 2 . Знайдіть силу тяги, якщо коефіцієнт
опору руху дорівнює 0,03.
1. Малюнок.
2. Показати сили, що діють на тіло.
3. Записати ІІ закон Ньютона у векторному вигляді
4. Знайти проекції векторів на осі Ох і Оу.
5. Знайти невідому величину.
Ответы
Ответ дал:
6
Ответ:
Объяснение:
_________________________________________
Приложения:

Вас заинтересует
2 года назад
2 года назад
2 года назад
2 года назад
8 лет назад
9 лет назад