1. Напишите уравнения реакций получения сульфата магния действием раствора серной кислоты на:
магний,
оксид магния,
гидроксид магния,
карбонат магния. 2. Составьте уравнения реакций
BaCl2 + Na2SO4 → FeCl3 + Al →
AgNO3 + NaCl → Zn(NO3)2 + Mg → Na2CO3 + HCl → MgCO3 →t
Ca(NO3)2 + Na2CO3 –> AlCL3 + KOH –>
BaS + Pb(NO3)2 –> 3. Реши задачу
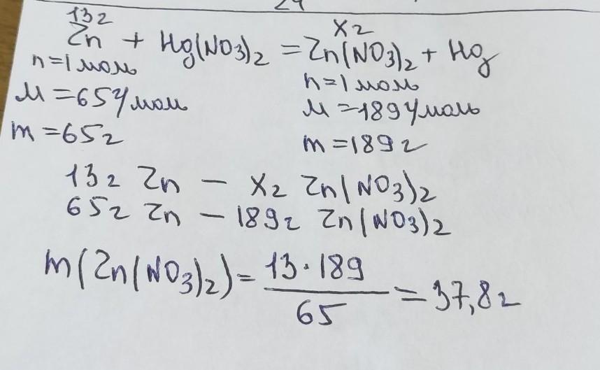
Вычислите массу соли, которая образуется при взаимодействии 13г цинка Zn с нитратом ртути Hg(NO3)2.
Ответы
Ответ дал:
3
Ответ:
ответ смотри во вложении
Приложения:


Вас заинтересует
2 года назад
2 года назад
2 года назад
8 лет назад
8 лет назад
9 лет назад