• Предмет: Алгебра
  • Автор: Polzovotel
  • Вопрос задан 3 года назад

Даю 80 баллов Помогите пж решить уравнение все в файле

Приложения:

Ответы

Ответ дал: Маркшейдерка
1

Ответ:

x=-1, y=3

Объяснение:

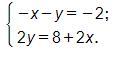
1)-х-y=-2

2)2y=8+2x

1)x=2-y                  1)x=2-y               1)x=2-y            1)x=-1

2)2y=8+2(2-y)      2) 2y=8+4-2y     2) 2y+2y=12   2) y=3


Polzovotel: Спасибо !
Вас заинтересует