• Предмет: Математика
  • Автор: jgdfjg
  • Вопрос задан 3 года назад

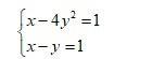
Решить с решением пожалуйста.

Приложения:

Ответы

Ответ дал: Аноним
6

Пошаговое объяснение:

...........

Удачи ....

Приложения:

Аноним: можно лучшим ответом
Вас заинтересует