• Предмет: Алгебра
  • Автор: НарруСАТ
  • Вопрос задан 10 лет назад

Вычислите наиболее рациональным способом: 

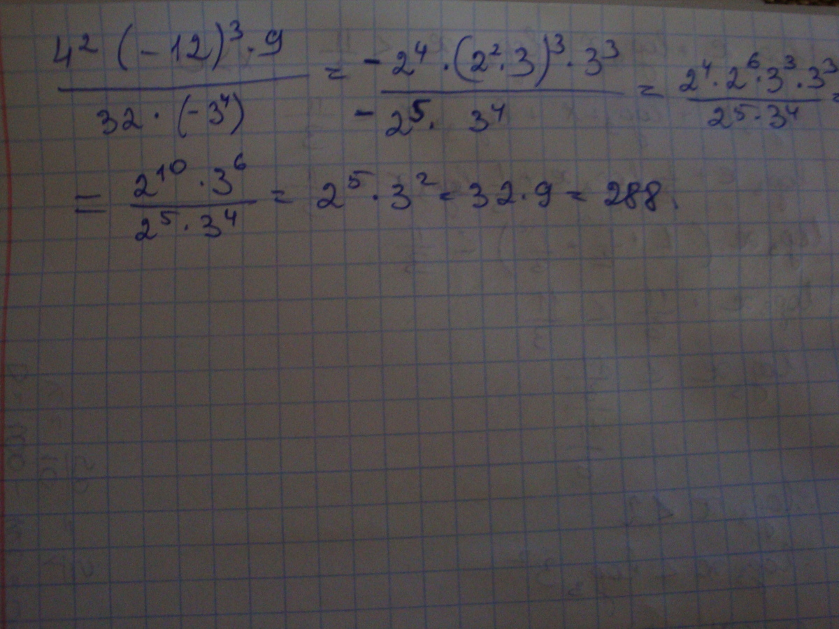
 frac{ 4^{2}* (-12)^{3} *9}{32*(-3^{4})}

Ответы

Ответ дал: Mydrый
0
решениеееееееееееееееееееееееееее
Приложения:
Ответ дал: Vladislav006
0
а почему у вас -3^4 = 81 ? Если быть объективным -3^4 = -81
Ответ дал: mmb1
0
 4^{2}*(-12)^3*9/32*(-3^4) = -(2^2)^2*(3*2^2)^3*3^2/-2^5*3^4= \ 2^43^32^63^2/2^53^4=2^{10}3^6/2^53^4=2^53^2=32*9=288
Приложения:
Ответ дал: Vladislav006
0
ок
Вас заинтересует