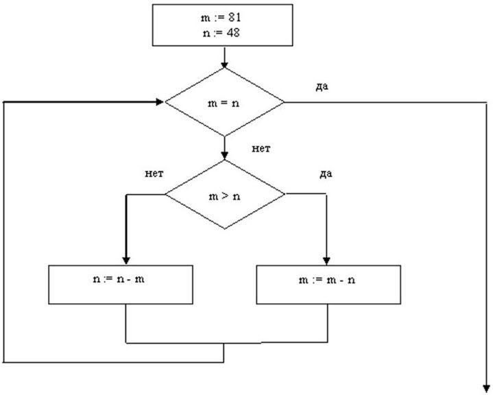
Определи, чему будет равно значение переменной m после выполнения фрагмента алгоритма:
Приложения:

Ответы
Ответ дал:
1
1) Движемся m=n – нет
2) m>n – да
3) Выполняем m:=m-n
m:=m-n
m:=81-48
m:=33
Вас заинтересует
2 года назад
2 года назад
2 года назад
8 лет назад
8 лет назад
9 лет назад