• Предмет: Математика
  • Автор: skipyyy86
  • Вопрос задан 3 года назад

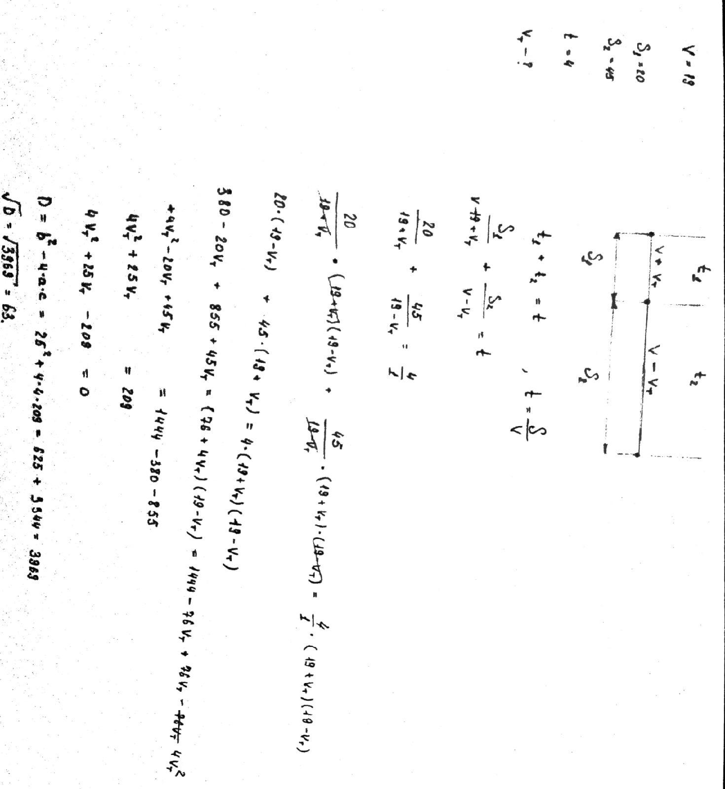
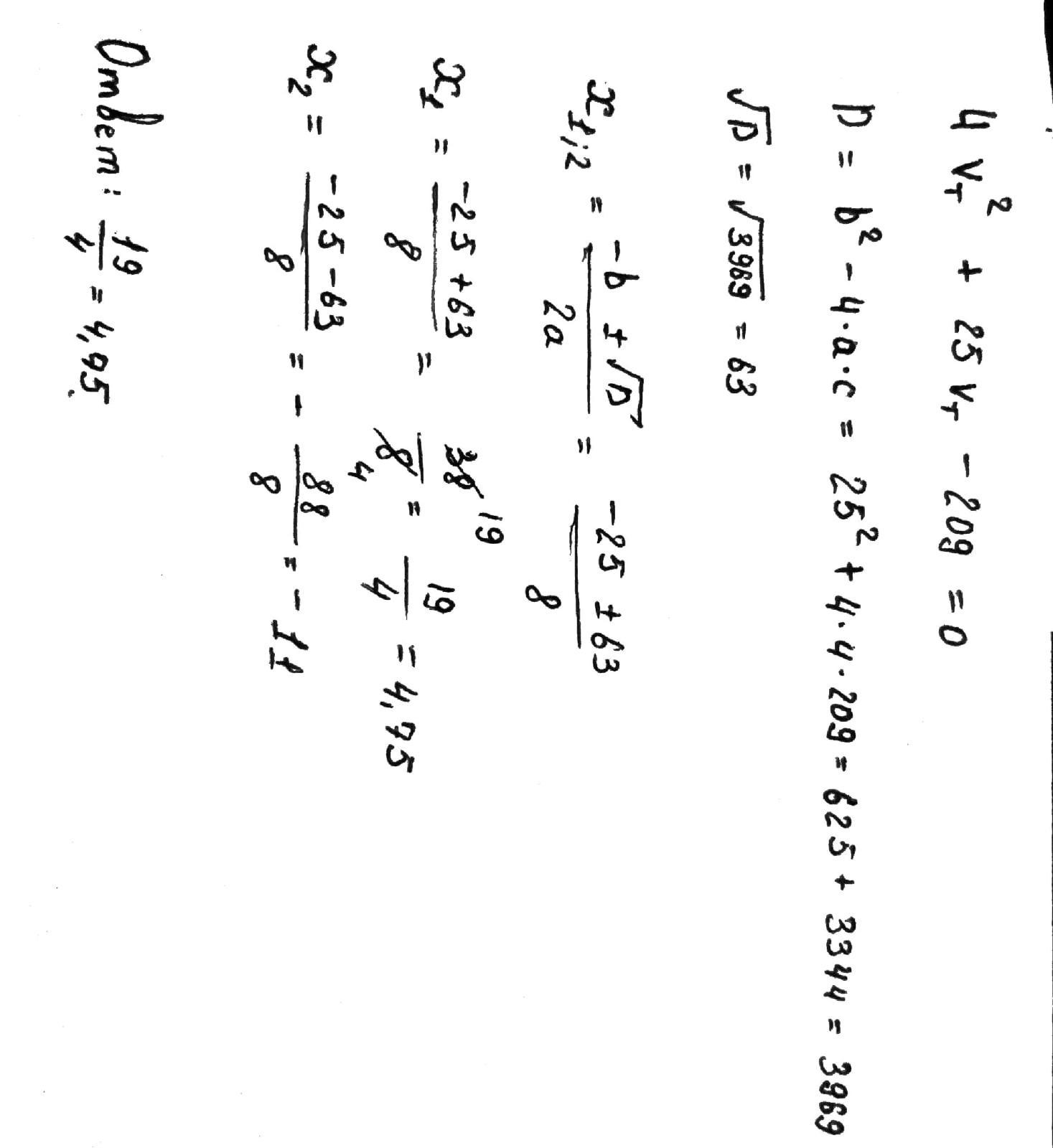
Катер власна швидкість якого 19 км/год , проплив 20 км за течією і 45 км проти течії , витративши на весь шлях 4 год . Знайдіть швидкість течії

Ответы

Ответ дал: alex20kx
0

Ответ на закрепленном изображении

Приложения:
Вас заинтересует