• Предмет: Алгебра
  • Автор: liza2004che
  • Вопрос задан 3 года назад

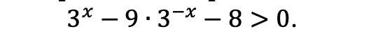
найдите наименьшее целое решение неравенства

Приложения:

mariastefanisina: можно забрать баллы?

Ответы

Ответ дал: m11m
1

Ответ:

Объяснение:

!!!!!!!!!!!!!!!!!!!!!!!!!!!!!!!!!!!!!.

Приложения:
Вас заинтересует