• Предмет: Математика
  • Автор: AnToHaMa
  • Вопрос задан 3 года назад

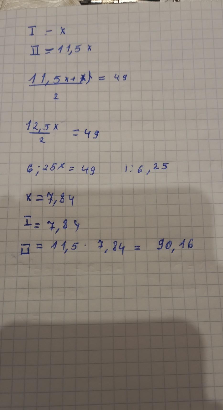
Одне число більше другого в 11,5 рази(-ів), середнє арифметичне цих двох чисел дорівнює 49.
Знайди ці числа. Пааааммммаааагггиииитееек пж

Ответы

Ответ дал: gerasymovivan
1

Ответ:

Выразили первое число за х второе так оно больше в 11.5 оно равно 11.5х

Приложения:
Вас заинтересует