• Предмет: Алгебра
  • Автор: Аноним
  • Вопрос задан 3 года назад

РЕБЯТА, ПОМОГИТЕ ПОЖАЛУЙСТА :((
ПРОШУ НЕ ИГНОРИТЬ

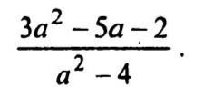
СОКРАТИТЕ ДРОБЬ ​

Приложения:

Ответы

Ответ дал: nurgazinanina15
0

Ответ:

3-5а-1 Это верх

2 Это низ

сократили а^2 и 2 и 4

Вас заинтересует