Ответы
Ответ дал:
0
kxkjnjnkcnncnckjdwnckjwnxkjndwlxmwlml
Приложения:

Ответ дал:
0
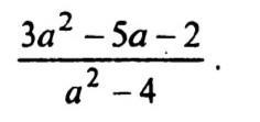
Ответ:
Объяснение:
3x² - 5x - 2 = 0
Найдем дискриминант квадратного уравнения:
D = b² - 4ac = (-5)² - 4·3·(-2) = 25 + 24 = 49
Так как дискриминант больше нуля то, квадратное уравнение имеет два действительных корня:
x₁ = ( 5 - √49) 2·3 = (5 - 7)/ 6 = -1/3
x₂ = ( 5 + √49) 2·3 = ( 5 + 7)/ 6 = 12/ 6 = 2
по формуле ax²+bx+c=a(x-x₁)(x-x₂)
(3x² - 5x - 2)=3(x+(1/3))(x-2)=(3x+1)(x-2)
по формуле a²=b²=(a-b)(a+b)
a²-4=(a-2)(a+2)
(3x² - 5x - 2)/(x²-4) =((3x+1)(x-2))/((x-2)(x+2))=
=(3x+1)/(x+2)
Вас заинтересует
2 года назад
2 года назад
2 года назад
8 лет назад