• Предмет: Математика
  • Автор: abeke1955a
  • Вопрос задан 3 года назад

даю все баллы только быстро в тот мне нужно идти в школу ​

Приложения:

Ответы

Ответ дал: dankarovichdankar
0

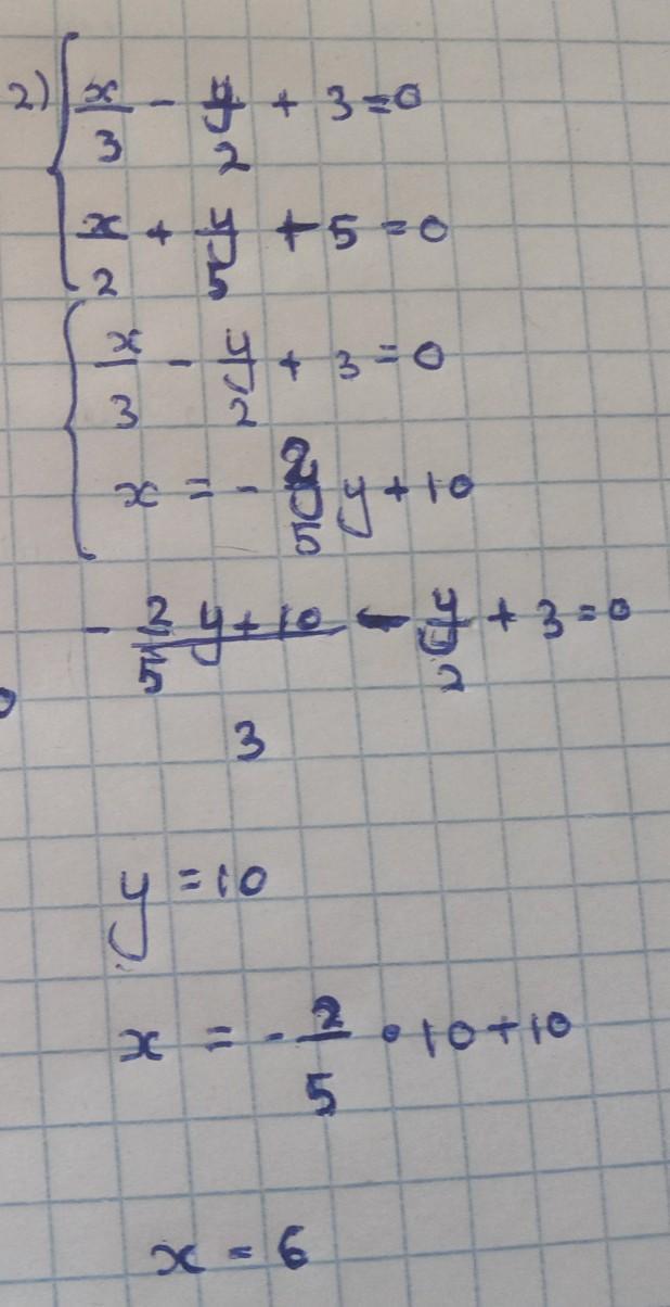
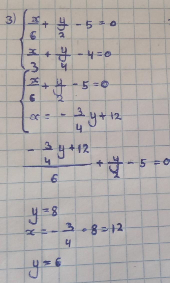
ПРИВЕТ! Я ОТВЕТИЛ. ТАМ В МЕСТО У 2.НЕ ОШИБИСЬ. НА ВТОРОМ. ЖЕЛАЮ УДАЧИ ПОКА!

Приложения:

dankarovichdankar: А ТАМ НА ТЕРТЬЕМ У=6 ЭТО Х=6
Вас заинтересует