• Предмет: Алгебра
  • Автор: dikooo36
  • Вопрос задан 3 года назад

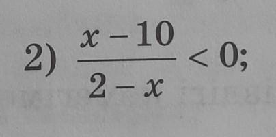
Срочно помагите пожалуйста ​

Приложения:

Ответы

Ответ дал: zarifazikish
1

Ответ:

х1=10

х2=-10

Объяснение:

лплкьпьлв

Приложения:

dikooo36: АОАОАОАО спс большое
Вас заинтересует