• Предмет: Алгебра
  • Автор: 5Nastya05
  • Вопрос задан 3 года назад

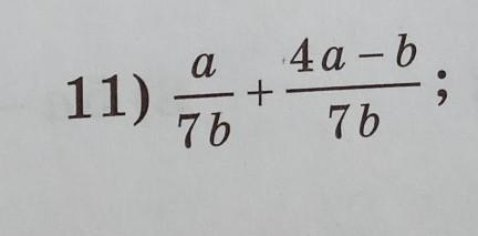
представьте в виде рациональной дроби выражение​

Приложения:

Ответы

Ответ дал: kalamazoo444
1

а/3

Думаю что так ...............


5Nastya05: мне нужно последовательный ответ
5Nastya05: типа 3/12+4/6=3/12+8/12=11/12
5Nastya05: кароче как ты получила этот ответ
kalamazoo444: Крч я сначала сложила а+4а=5а,дальше я сложила б 7б+7б=14б+1=15б,далее сократила b,получилось 5/15 разделила на 5 получилось а/3
Вас заинтересует