• Предмет: Алгебра
  • Автор: RamazanBekenov
  • Вопрос задан 3 года назад

срочно!надо алгебру сделать​ вместо b-x там опечатка

Приложения:

jmotescu: Что такое b?
RamazanBekenov: вместо b надо x там опечатка
RamazanBekenov: 5 минут осталось
jmotescu: Ок, сейчас решу.

Ответы

Ответ дал: jmotescu
0

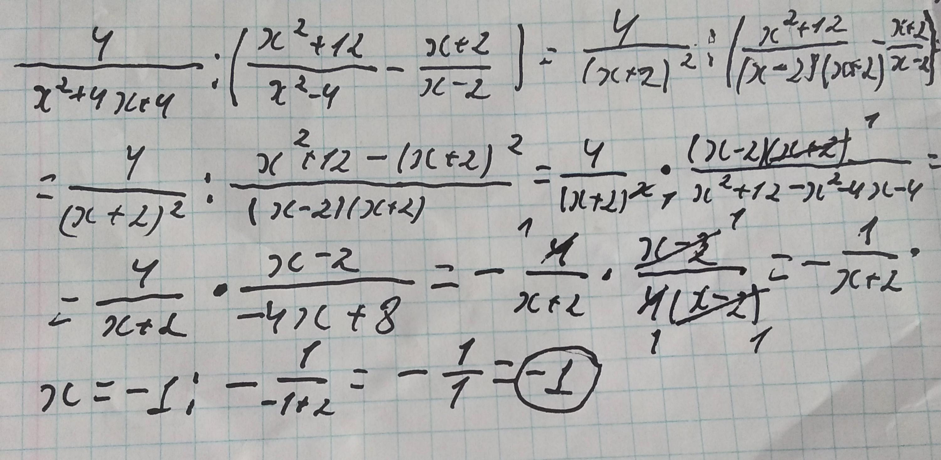
Ответ:

-1

Объяснение:

На картинке.

Приложения:

jmotescu: Пойдёт?
RamazanBekenov: да спасибо
Ответ дал: Zombynella
0

Ответ:

На фото.

Объяснение:

В приложении.

Приложения:

Аноним: МНЕ ПОМОГИТЕ УМОЛЯЮ ПОЖАЛУЙСТА СРОЧНО УМОЛЯЮ
Вас заинтересует