• Предмет: Алгебра
  • Автор: Олька228
  • Вопрос задан 11 лет назад

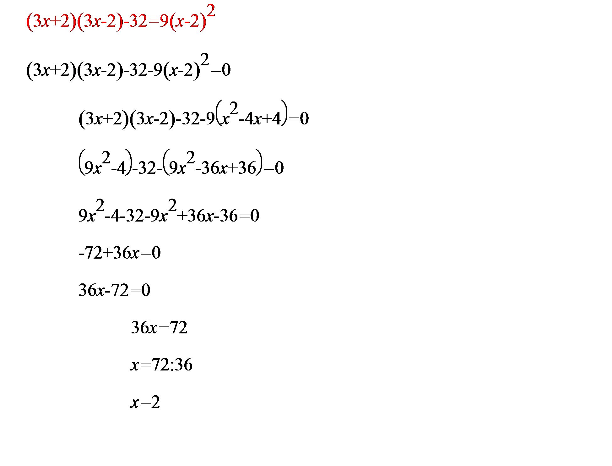
решите уравнение(3х+2)(3х-2)_32=9(х-2)во в  2степени 

Ответы

Ответ дал: КЮра
0

(3х+2)(3х-2)-32 = 9(х-2)^2

9х^2-4-32 = 9(х^2-4х+4)

9х^2-36 = 9х^2-36х-36

9х^2-36-9х^2+36х-36 =0

36х=0

х=0

Ответ дал: triolana
0

файл

============================

Приложения:
Вас заинтересует