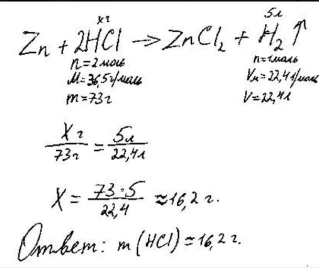
при действии цинка на соляную кислоту было получено 5 г водорода. Сколько граммов цинка вступило в реакцию. Срочно пожалуйста.
Ответы
Ответ дал:
0
Ответ: m(HCl) =16,2г.
Приложения:

satybalovarslan:
спасибо
Вас заинтересует
2 года назад
2 года назад
2 года назад
2 года назад
8 лет назад
8 лет назад