• Предмет: Алгебра
  • Автор: vanafataliti
  • Вопрос задан 3 года назад

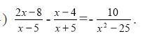
тут фото завдання
помогите пожалуста

Приложения:

Ответы

Ответ дал: Аноним
1

Ответ:

Объяснение:

(2х-8)/(х-5) - (х-4)/(х+5) + 10/((х-5)(х+5))= 0

((2х-8)*(х+5)—(х-4)(х-5)+10)/((х+5)(х-5)) = 0

(X^2+11x-50)/((x-5)(x+5)) = 0

X = (-11±√321)/2

Вас заинтересует