• Предмет: Алгебра
  • Автор: vitalinasabatin002
  • Вопрос задан 3 года назад

Скоротіть дріб:4х²+х-3/х²-1

Ответы

Ответ дал: serovaksusa1
2

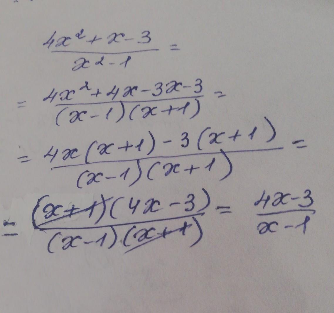
Ответ:

Смотри решение на фото

Приложения:
Ответ дал: MatemaU9
1

Объяснение:

4х² + х - 3/х² - 1 ⇒

используя формулу a² - b² = (a - b)(a + b) разложим на множители

= 4х² + 4х - 3х - 3/(х - 1)(х + 1) =

= 4х(х + 1) - 3(х + 1)/(х - 1)(х + 1) =

= (х + 1)(4х - 3)/(х - 1)(х + 1) = 4х - 3 / х - 1

Вас заинтересует