• Предмет: Алгебра
  • Автор: omist8288
  • Вопрос задан 3 года назад

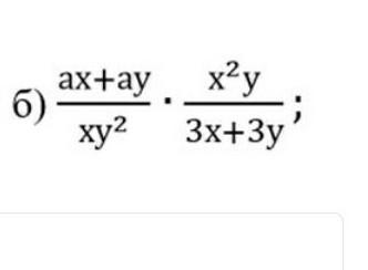
ax+ay/xy² × x²y/3x+3y помогите решить СОР​

Приложения:

Ответы

Ответ дал: serovaksusa1
4

Ответ:

Смотри решение на фото

Приложения:
Вас заинтересует