Ответы
Ответ дал:
1
Ответ:
Пошаговое объяснение:
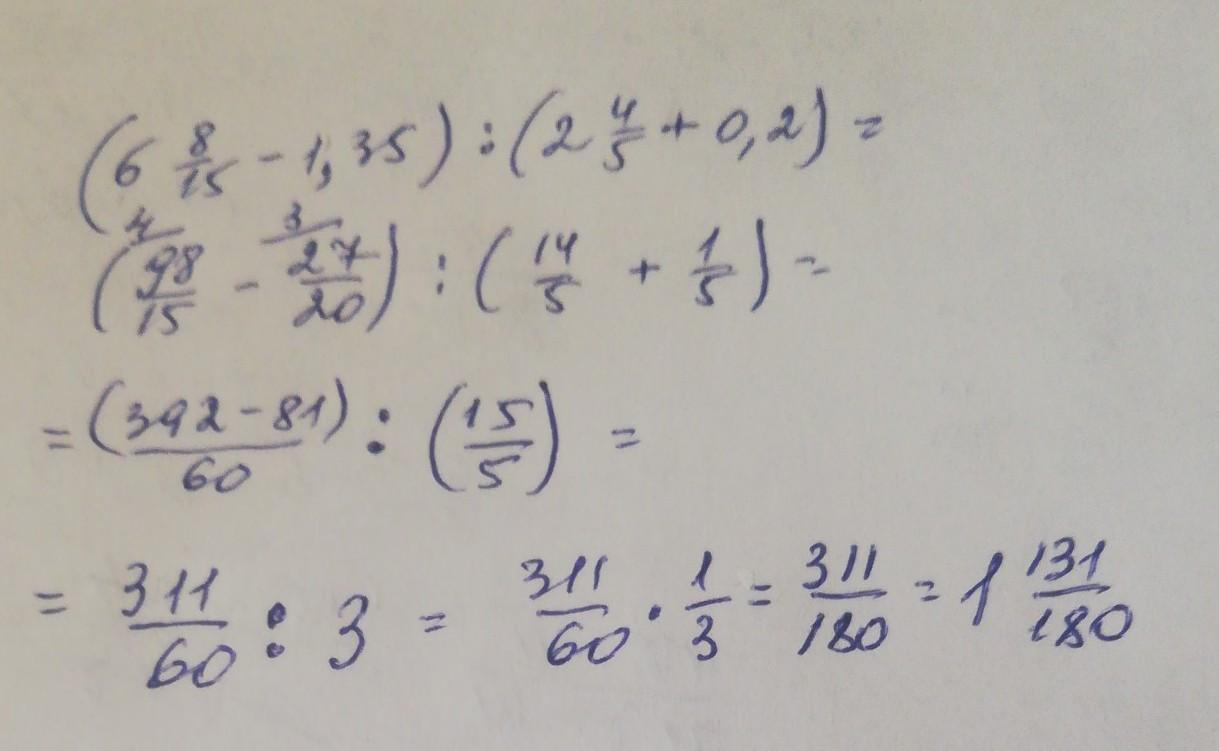
6 8/15-1,35=98/15-135/100=1960/300-405/300=1555/300=311/60=5 11/60
2 4/5+0,2=2 4/5+2/10=2+8/10+2/10=3
5 11/60:3=311/60*1/3=311/180=1 131/180
nikitapodolko2008:
спасибо
Ответ дал:
3
Ответ:
Смотри решение на фото
Приложения:

Вас заинтересует
2 года назад
2 года назад
2 года назад
2 года назад
8 лет назад
8 лет назад
9 лет назад