• Предмет: Математика
  • Автор: Bargamr
  • Вопрос задан 3 года назад

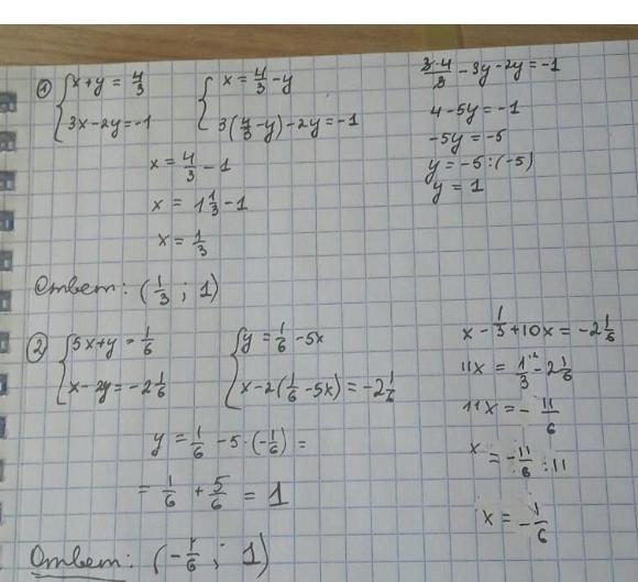
1){x+y=4/3 2) {5x+y=1/6
{3x-2y=-1 {x-2y=-2 1/6

3){y+2x=-1
{5x-4y=10.5

Ответы

Ответ дал: fodak
10

Сделай лучшим ответом если не сложно

Приложения:
Вас заинтересует