• Предмет: Математика
  • Автор: savekey338
  • Вопрос задан 3 года назад

пожалуйста решите даю 25 баллов​

Приложения:

Ответы

Ответ дал: wiktor1979
1

Ответ:

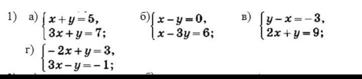
x + y = 5 \\ 3x + y = 7 \\ x = 5 - y \\ 3(5 - y) + y = 7 \\ 15 - 3y + y = 7 \\  - 2y = 7 - 15 \\  - 2y =  - 8 \\ y = 4 \\ x = 5 - 4 \\ x = 1 \\

 - 2x + y = 3 \\ 3x - y =  - 1 \\ x = 2 \\  - 2 \times 2 + y = 3 \\  - 4 + y = 3 \\ y = 3 + 4 \\ y = 7

x - y = 0 \\ x - 3y = 6 \\ x - y = 0 \\  - x + 3y =  - 6 \\ 2y =  - 6 \\ y =  - 3 \\ x - ( - 3) = 0 \\ x + 3 = 0 \\ x =  - 3

y - x =  - 3 \\ 2x + y = 9 \\ y =  - 3 + x \\ 2x - 3 + x  = 9\\ 3x = 9 + 3 \\ 3x = 12 \\ x = 4 \\ y =  - 3 + 4 \\ y = 1


savekey338: спасибооооо
Вас заинтересует