• Предмет: Математика
  • Автор: Лисёнок8881
  • Вопрос задан 3 года назад

производные!!!
полное решение!!! решите, пожалуйста, очень нужно!!!

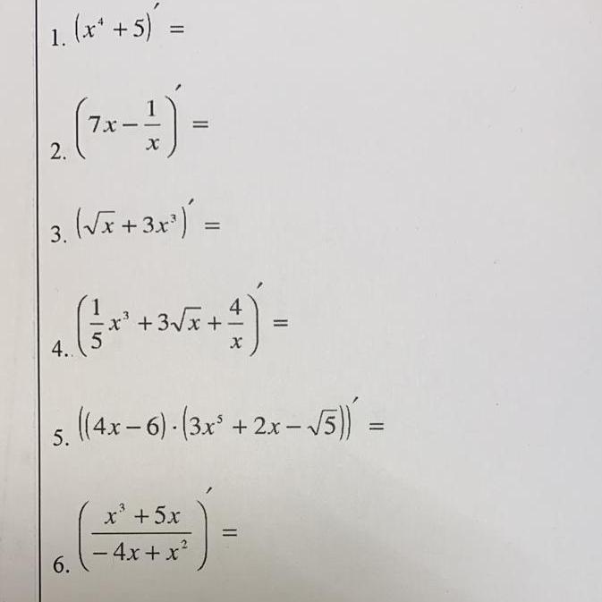
Приложения:

Ответы

Ответ дал: Miroslava227
3

Ответ:

1.

4 {x}^{3}

2

(7x -  {x}^{ - 1} )' = 7 - ( - 1) {x}^{ - 2}  = 7 +  \frac{1}{ {x}^{2} }  \\

3

( {x}^{ \frac{1}{2} }  + 3x {}^{3} )' =  \frac{1}{2}  {x}^{ -  \frac{1}{2} }  + 9 {x}^{2}  =  \\  =  \frac{1}{2 \sqrt{x} }  + 9 {x}^{2}

4

( \frac{ {x}^{3} }{5}  + 3  \sqrt{x}  + 4 {x}^{ - 1} ) '=  \frac{3 {x}^{2} }{5}  +  \frac{3}{2 \sqrt{x} }  - 4 {x}^{ - 2}  =  \\  =  \frac{3 {x}^{2} }{5}  +  \frac{3}{2 \sqrt{x} }  -  \frac{4}{ {x}^{2} }

5

(4x - 6)'(3 {x}^{5}   +  2x -  \sqrt{5}) + (3 {x}^{5}   + 2x -  \sqrt{5} )'(4x - 6) =  \\  = 4(3 {x}^{5}   +  2x -  \sqrt{5} ) + (15 {x}^{4}  + 2)(4x - 6) =  \\  = 12 {x}^{5}  + 8x - 4 \sqrt{5}  + 30 {x}^{5}  - 90 {x}^{4}  + 8x - 12 =  \\  = 42 {x}^{5}  -9 0 {x}^{4}  + 16x - 1 2- 4\sqrt{5}

6

 \frac{( {x}^{3}  + 5x)'( - 4x +  {x}^{2}) - ( - 4x +  {x}^{2})'( {x}^{3}    + 5x)}{ {( {x}^{2} - 4x) }^{2} }  =  \\  =  \frac{(3 {x}^{2}  + 5)( - 4x +  {x}^{2} ) - ( - 4 + 2x)( {x}^{3}  + 5x)}{ {( {x}^{2}  - 4x)}^{2} }  =  \\  =  \frac{ - 12 {x}^{3} + 3 {x}^{4}  - 20x + 5 {x}^{2}   + 4 {x}^{3} + 20x - 2 {x}^{4}  - 10 {x}^{2}  }{ {( {x}^{2}  - 4x)}^{2} }  =  \\  =  \frac{ {x}^{4}  - 8 {x}^{3}  - 5 {x}^{2} }{ {( {x}^{2} - 4x) }^{2} }


4UPCONA: Как?
Вас заинтересует