• Предмет: Алгебра
  • Автор: sdstudio
  • Вопрос задан 3 года назад

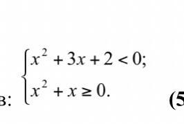
РЕШИТЕ СИСТЕМУ НЕРАВЕНСТВ СРОЧНО

Приложения:

Ответы

Ответ дал: PROJECTz
0

Ответ: -2, -1

Объяснение:


sdstudio: нужен не ответ а решение
Вас заинтересует