• Предмет: Математика
  • Автор: maksimmisin64
  • Вопрос задан 3 года назад

Решите уравнения, пожалуйста. ​

Приложения:

Ответы

Ответ дал: jkbts97
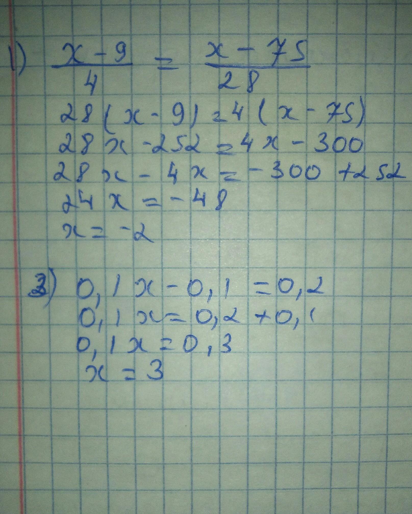
1

Ответ:

Надеюсь помогла

Можно лучший ответ пожалуйста

Приложения:
Вас заинтересует