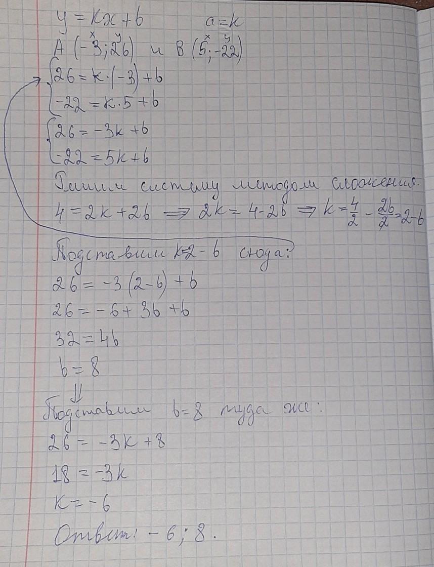
Прямая y=kx+b проходит через точку A(-3;26) и B(5;-22). Найдите a и b и запишите ответ. Помогите пожалуйста! (( решать нужно через систему уравнений ))
Ответы
Ответ дал:
1
Ответ:
а = -6, b = 8
Объяснение:
Объяснение на фотографии.
Приложения:

mol4anovpaww:
Спасибо большое, выручил)
Вас заинтересует
2 года назад
2 года назад
2 года назад
8 лет назад
8 лет назад
9 лет назад