• Предмет: Математика
  • Автор: Nosferatu7
  • Вопрос задан 3 года назад

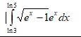
Здравствуйте. Помогите пожалуйста найти определенный интеграл!

Приложения:

Ответы

Ответ дал: pushpull
0

Ответ:

Пошаговое объяснение:

\displaystyle \int\limits^{ln(5)}_{ln(3)} {e^x\sqrt{e^x-1} } \, dx =\left[\begin{array}{ccc}u=e^x-1\quad du = e^xdx\\u_1=e^{ln(3)}-1=2\hfill\\u_2=e^{ln(5)-1}=4\hfill\end{array}\right] =\int\limits^4_2 {\sqrt{u} } \, du=

\displaystyle =\frac{2u^{3/2}}{3} \bigg |_2^4=\frac{2*4^{3/2}}{3} -\frac{2*2^{3/2}}{3} =\frac{4}{3} (4-\sqrt{2} )

Вас заинтересует