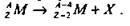
Какие частицы излучаются при указанном процессе распада:
а) ядро гелия;
б) электрон;
в) ядро гелия и электрон.
Приложения:

Ответы
Ответ дал:
3
Ответ:
Я думаю что
Вариант
(а).
Ответ дал:
4
Ответ:
Объяснение:
частица X имеет массу 4 и заряд +2 (из законов сохранения заряда и массы)
это ядро атома гелия - это ответ
Аноним:
Спасибо, теперь я убедился что это гелий
Вас заинтересует
2 года назад
2 года назад
2 года назад
2 года назад
8 лет назад
9 лет назад