• Предмет: Алгебра
  • Автор: noremac09
  • Вопрос задан 3 года назад

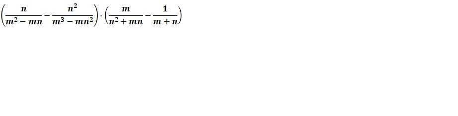
Упростите выражение 33 балла

Приложения:

Ответы

Ответ дал: Universalka
1

(\frac{n}{m^{2}-mn } -\frac{n^{2} }{m^{3}-mn^{2}})*(\frac{m}{n^{2}+mn }-\frac{1}{m+n})=\\\\=(\frac{n}{m(m-n)} -\frac{n^{2} }{m(m-n)(m+n)})*(\frac{m}{n(n+m)}-\frac{1}{m+n})=\\\\=\frac{n*(m+n)-n^{2} }{m(m-n)(m+n)}*\frac{m-n}{n(m+n)}=\frac{mn+n^{2}-n^{2} }{m(m-n)(m+n)}*\frac{m-n}{n(m+n)}=\\\\=\frac{mn}{m(m-n)(m+n)}*\frac{m-n}{n(m+n)}=\boxed{\frac{1}{(m+n)^{2} }}

Ответ дал: NNNLLL54
1

Ответ:

\Big(\dfrac{n}{m^2-mn}-\dfrac{n^2}{m^3-mn^2}\Big)\cdot \Big(\dfrac{m}{m^2+mn} -\dfrac{1}{m+n}\Big)=\\\\\\=\Big(\dfrac{n}{m(m-n)}-\dfrac{n^2}{m(m-n)(m+n)}\Big)\cdot \Big(\dfrac{m}{n(m+n)}-\dfrac{1}{m+n}\Big)=\\\\\\=\dfrac{n(m+n)-n^2}{m(m-n)(m+n)}\cdot \dfrac{m-n}{n(m+n)}=\dfrac{mn}{m(m-n)(m+n)}\cdot \dfrac{m-n}{n(m+n)}=\\\\\\=\dfrac{1}{(m+n)^2}

Вас заинтересует