• Предмет: Математика
  • Автор: sashaterebun9
  • Вопрос задан 3 года назад

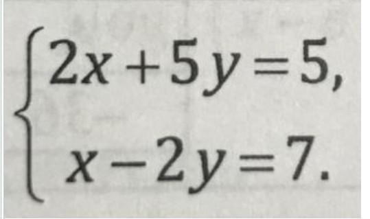
розв'яжіть систему лінійних рівнянь способом підстановки

Приложения:

Ответы

Ответ дал: chechelenko1
0

Ответ:

(5;-1)

Пошаговое объяснение:

\left \{ {{2x+5y=5} \atop {x=2y+7}} \right. \\2(2y+7)+5y=5\\4y+14+5y=5\\4y+5y=5-14\\9y=-9\\y=-9:9\\y=-1\\x=2y+7\\x=2*(-1)+7=-2+7=5

Вас заинтересует