• Предмет: Алгебра
  • Автор: elenaluneva046
  • Вопрос задан 3 года назад

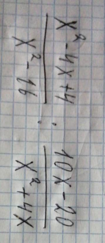
Выполните действие x²-4x+4/x²-16 : 10x-20/ x²+4x
помогите срочно​

Приложения:

Ответы

Ответ дал: Universalka
0

\frac{x^{2}-4x+4 }{x^{2}-16 } :\frac{10x-20}{x^{2}+4x }=\frac{(x-2)^{2}}{(x-4)(x+4)} *\frac{x(x+4)}{10(x-2)}=\boxed{\frac{x(x-2)}{10(x-4)}}

Вас заинтересует