• Предмет: Математика
  • Автор: nbs27932
  • Вопрос задан 3 года назад

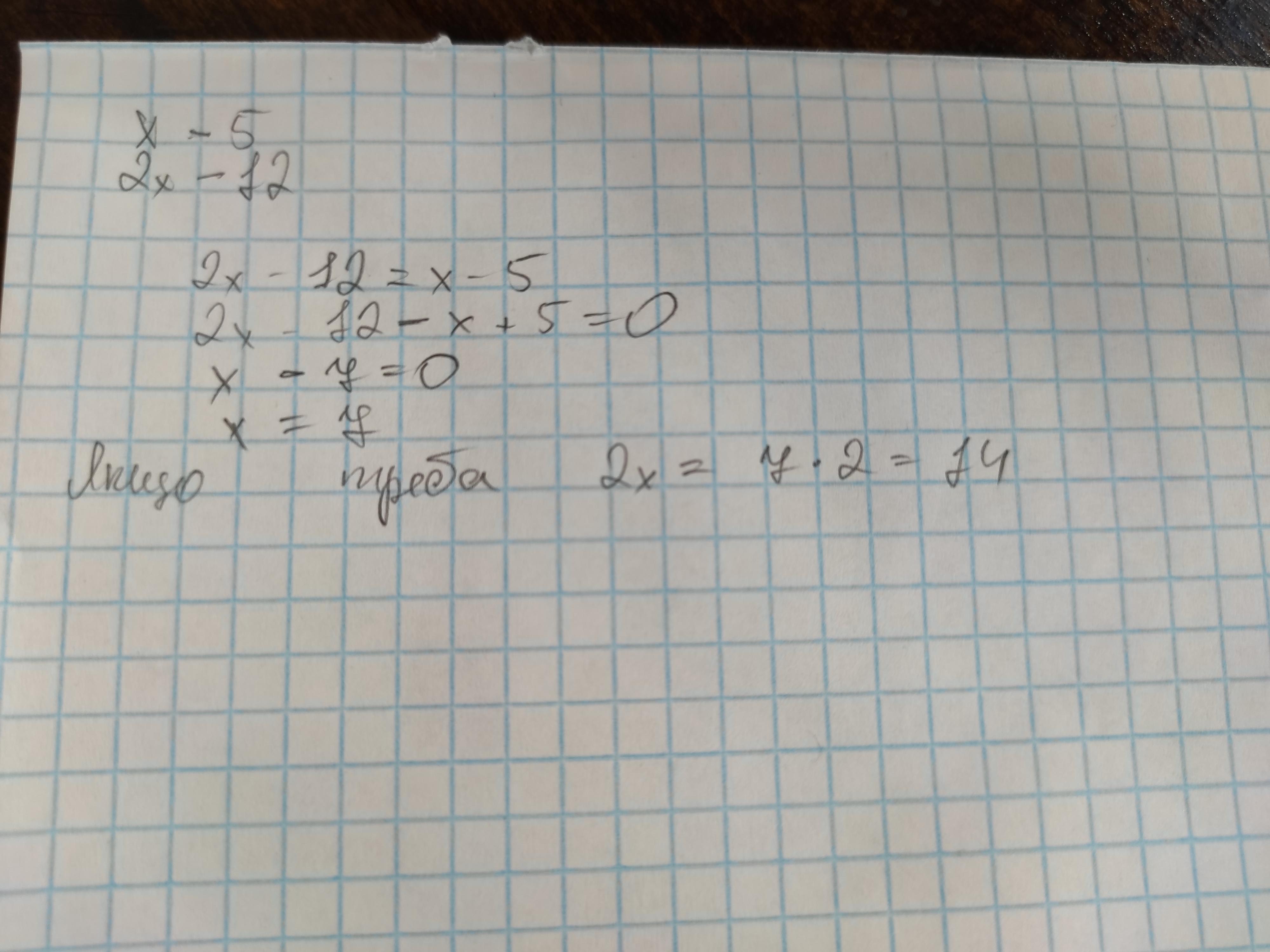
в одному магазині у 2р більше карторлі ніж у другму.Коли перший продав 12ц картолі,а другий 5ц, то в магазинах стало порівно​


Acceleration: 7 і 14(в тому що в 2 рази більше)

Ответы

Ответ дал: Acceleration
0

Якось так. Не знаю що питають, тому зробив те шо могли питать

Приложения:

nbs27932: в одному магазині у 2р більше карторлі ніж у другму.Коли перший продав 12ц картолі,а другий 5ц, то в магазинах стало порівно​. Скльки центнерів було в магазинах спочатку?
Вас заинтересует