• Предмет: Алгебра
  • Автор: callista
  • Вопрос задан 3 года назад

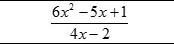
скоротить дріб задание на фото​

Приложения:

Ответы

Ответ дал: lazarchuk27112006
1

Объяснение:

6х² - 5х +2 =0. ОДЗ: 4х -2≠0

Д= коренів немає 4х≠2

х≠0,5

Вас заинтересует