• Предмет: Математика
  • Автор: fotita3951
  • Вопрос задан 3 года назад

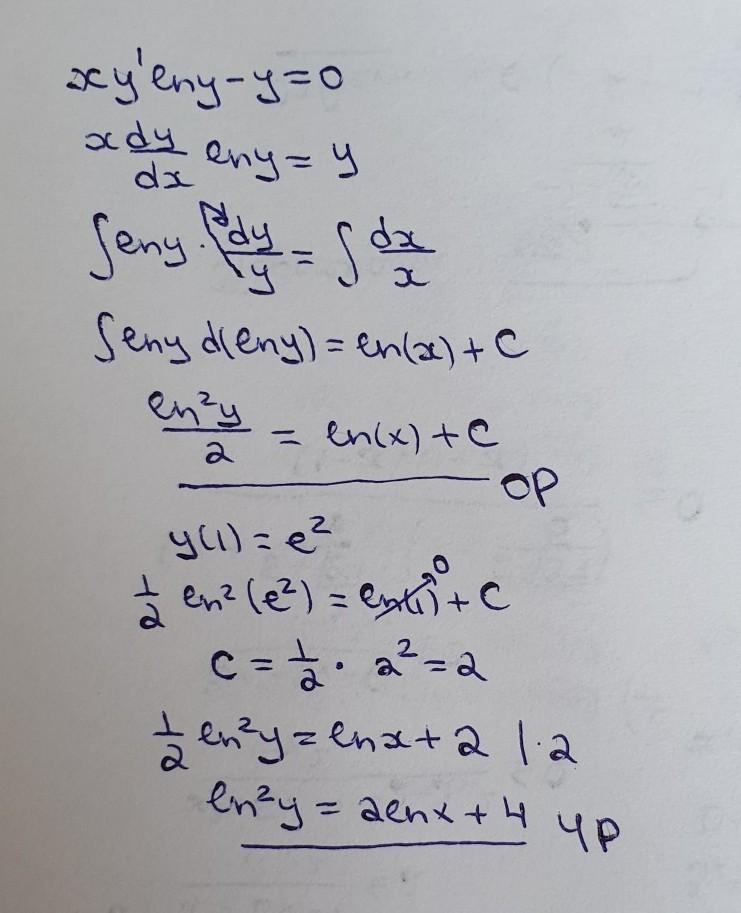
Знайти частковий розв’язок диференціального рівняння з розділяючими змінними.

Приложения:

Ответы

Ответ дал: Miroslava227
2

Ответ:

решение на фотографии

ОР- общее решение

ЧР - частное решение

Приложения:
Вас заинтересует