• Предмет: Алгебра
  • Автор: fdgdgdgdhdg
  • Вопрос задан 3 года назад

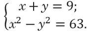
Розв’яжіть систему рівнянь

Приложения:

Ответы

Ответ дал: ShutNik4
1

Ответ:...................................

Объяснение:

Приложения:
Ответ дал: lilija190608
1

Ответ:

есть график і рівняння дивись

Приложения:
Вас заинтересует