• Предмет: Математика
  • Автор: Nikit0sikkk
  • Вопрос задан 3 года назад

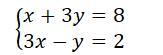
Решите систему уравнений.

Приложения:

Ответы

Ответ дал: MatemaU9
1

Ответ:

Пояснение:

Ответ дан на фотографии.

Приложения:
Вас заинтересует