1) Корнем уравнения
является числа (число)....
Варианты ответов:
а) 2; 3
б) -6; 1
в) 6
г) -1; 6
2) Определить квадратное уравнение, к которому сводится дробно-рациональное уравнение 
Варианты ответов:
а) 
б) 
в) 
г) 
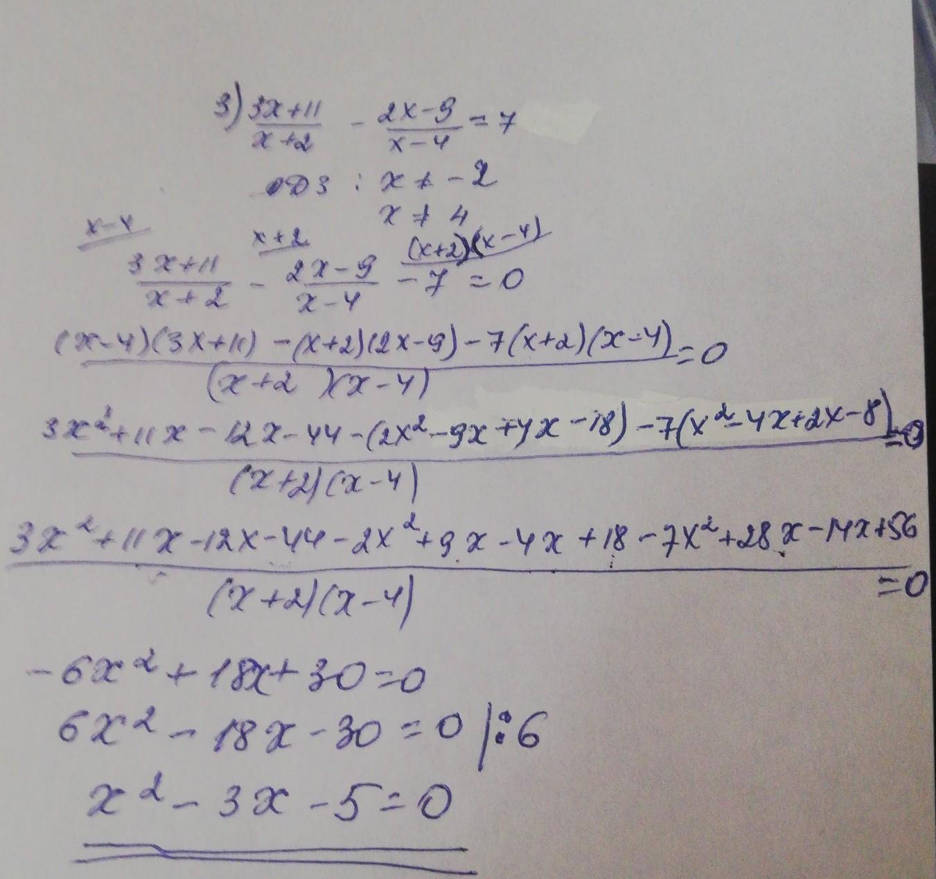
3) Образования квадратное уравнение, выполняя равносильно преобразования на всей области определения уравнения.

Варианты ответов:
а)
- 3x - 5 = 0
б) 2
+ 10x - 6 = 0
в) 5
+ 8x - 6 = 0
г) 2
- 10x + 6 = 0
Ответы
Ответ:
1. Б -6; 1
2. Б
3. А
Детальнее:
1. Область допустимых значений:
Когда знаменатели одинаковые, можно
сравнить числительные:
Переносим число с противоположным значением в левую часть, чтобы получилось квадратное уравнение и решаем:
x₁
x₂
Условие соблюдено:
Ответ: x₁ = -6; x₂ = 1.
2. Область допустимых значений:
Переносим число с противоположным значением в левую часть, чтобы получилось квадратное уравнение и решаем:
Когда частное двух выражений равна нулю, то числитель должен быть равным нулю:
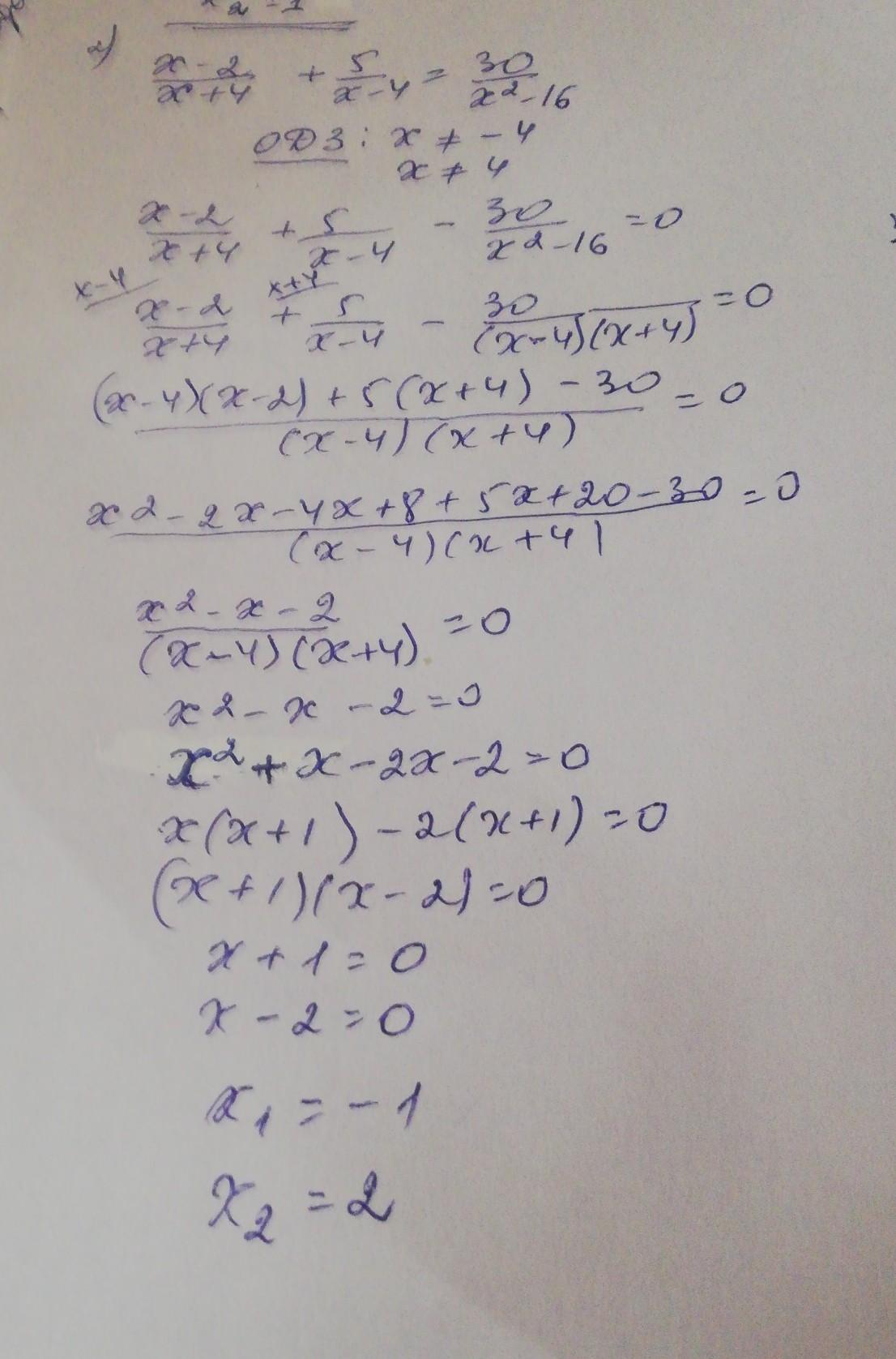
3. Область допустимых значений:
Переносим число с противоположным значением в левую часть, чтобы получилось квадратное уравнение и решаем:
Когда частное двух выражений равна нулю, то числитель должен быть равным нулю:
Делим обе части уравнения на -6. Получаем:
Ответ:1)б 2)б 3)а
Смотри решение на фото


