• Предмет: Алгебра
  • Автор: cchhiillyy123
  • Вопрос задан 3 года назад

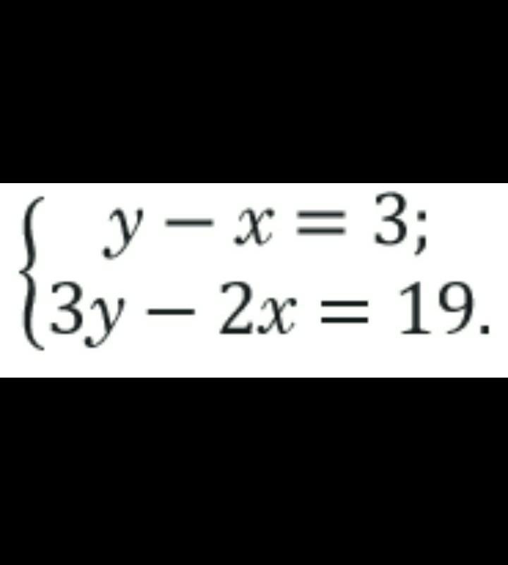
Розв’яжіть способом підстановки систему рівнянь​

Приложения:

Ответы

Ответ дал: s1051966
0

Розв’яжіть способом підстановки систему рівнянь

Приложения:
Вас заинтересует