• Предмет: Алгебра
  • Автор: mrcat50
  • Вопрос задан 3 года назад

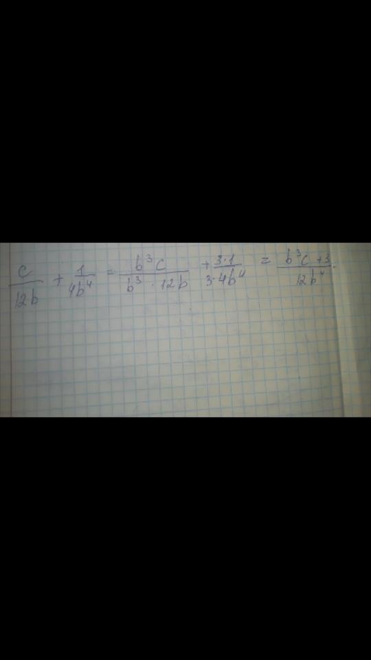
Действия над алгебраическими дробями. Урок 3

Выполни сложение алгебраических дробей

Билимленд 7 класс Алгебра​

Приложения:

Ответы

Ответ дал: malikakholmuminova
1

Ответ: Вариант 1

Объяснение:

Приложения:
Вас заинтересует