• Предмет: Математика
  • Автор: Vikaa12346
  • Вопрос задан 3 года назад

ДВАДЦАТЬ БАЛЛОВ СРОЧНО​

Приложения:

Ответы

Ответ дал: sweetfeariy
0

Ответ:

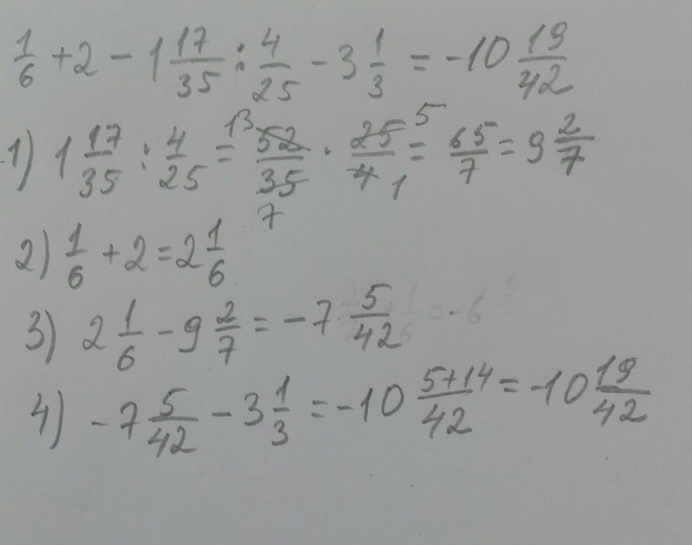
Ответ:155/168 как на фотке

Приложения:
Ответ дал: s1051966
0

ответы ответы на фотографии

Приложения:
Вас заинтересует