• Предмет: Математика
  • Автор: vasilevaalisa345
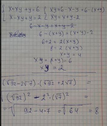
  • Вопрос задан 3 года назад

Решите пожалуйста задания

Приложения:

Ответы

Ответ дал: MadeInHeaven123
1

Ответ:

Пошаговое объяснение:

Приложения:
Вас заинтересует