Найти массовую долю сахора в растворе сахара и воды
P.S ещё написать оборудование и описал свои действия, по типу : взял колбу с водой, и так далее . Помогите умоляю
Ответы
Ответ дал:
0
Ответ:
Выполнение работы :
В коническую колбу нальем 50 мл дистиллированной воды и насы-
пали немного сахара, предварительно взвешенного. Раствор перемешали стеклянной палочкой.
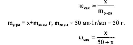
Рассчитаем массовую долю сахара в растворе (пусть масса его,
взвешенная на весах составила х г), тогда
Объяснение:
Приложения:


Вас заинтересует
2 года назад
2 года назад
8 лет назад
9 лет назад