• Предмет: Математика
  • Автор: bogdanarazuvaeva28
  • Вопрос задан 3 года назад

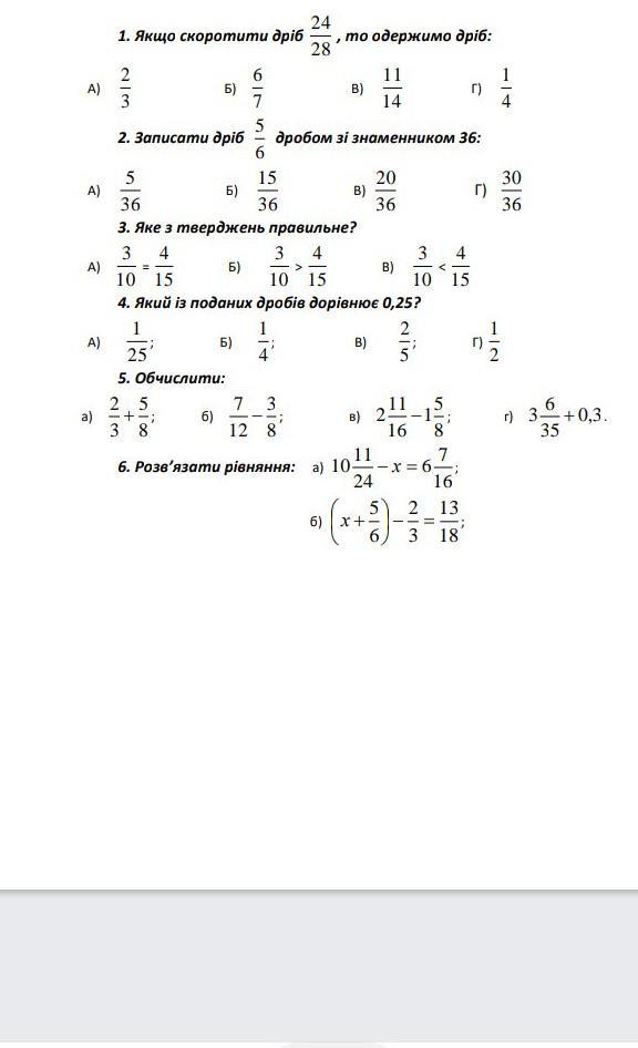
помогите пожалуйста выполнить задание 20б.​

Приложения:

Ответы

Ответ дал: tatsach
1

Ответ:

Пошаговое объяснение:

Приложения:

ruslana770614: Передивіться 5г, там 6/35 має бути 12/70, а не 42/70
ruslana770614: і відповідь вийде інша 3 33/70
tatsach: Спасибо. Исправила
Вас заинтересует