Умоляю помогитее 6 кл 70 балов
Приложения:

celovekvl89:
госпадииииии отвечает главный мозг
Ответы
Ответ дал:
2
Пошаговое объяснение:
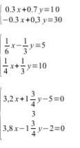
{0,3х+0,7у=10
{-0,3х+0,3у=30
+-------------------
У=40
0,3х+0,7у=10
0,3х+0,7×40=10
0,3х=10-28
0,3х= - 18
Х= - 60
Ответ : (-60;40)
{1/6х-1/3у=5
{1/4х+1/3у=10
+--------------------
(1/6х+1/4х)=15
5/12×х=15
5х=180
Х=36
1/6×х-1/3×у=5
1/6×36-1/3×у=5
6-1/3×у=5
18-у=15
-у=15-18
-у= - 3
У=3
Ответ : (36;3)
{3,2х+1 3/4у-5=0
{3,8х-1 3/4у-2=0
+-----------------
7х-7=0
7х=7
Х=1
3,8х-1 3/4×у-2=0
3,8×1-7/4×у=2
-7/4×у=2-3,8
-7/4×у= - 1,8
У= - 1,8:(-1,75)
У=180/175=36/35
Ответ :(1; 36/35)
Вас заинтересует
2 года назад
2 года назад
2 года назад
8 лет назад
9 лет назад
9 лет назад